著者のサイト「アイデアジェネレーター」では商圏分析を計算するアプリケーションを公開しています。
商圏分析とは出店する都市の顧客を引き付ける力を把握するための理論です。
高品質なサービスを提供しても、お客さんが来ないのであればビジネスはうまくいきません。
出店する都市の決定は、見込み顧客を獲得するうえ、極めて重要な意思決定となります。
商圏分析は以下の3つの法則からなります。
- ライリーの法則
- ライリー&コンバースの法則
- コンバースの法則
この記事では商圏分析のそれぞれの法則を分かりやすく解説しています。
お店を出店する前に、本当にその都市に出店するべきか。
商圏分析で計算して意思決定の参考にして下さい。
商圏分析とは?
お店(店舗)を出店したいときに、特に重要となるのは立地条件です。
多少サービスが悪くても、立地条件が良ければ商売としてはまずまずの売上を得ることができます。
逆に最高のサービスを提供しているとしても、立地条件が悪ければお客様は来ないでしょう。
立地条件はビジネスを開始する上で、重要なファクターとなります。
それでは立地条件を決定するためにどうすればよいでしょうか?
この問題を理論化するために考え出されたのが、商圏分析です。
商圏分析は都市と都市の間に生じる、顧客を吸引する力関係を分析することができます。
あなたが出店した都市が近隣都市と比較して有利か不利かを数値で測ることができます。
商圏分析の3つの法則
商圏分析の3つの法則にはそれぞれ計算できることが異なります。
それぞれの理論に関して解説します。
ライリーの法則
2つの都市がその間にある中間都市から顧客を吸引する割合を計算します。
別名「小売引力の法則」とも呼ばれています。
以下の図を見て下さい。

あなたが出店している都市と、ライバル企業が出店している都市の間にある中間都市の顧客はどちらの都市で買い物をするか把握することができます。
- 人口が多い都市の方が顧客を引き付ける
- 距離が短いほうが顧客を引き付けやすい
- 距離は極めて重要なファクター(2乗で効いてくる)
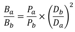
以下がライリーの法則の計算式です。

Ba:出店した都市に引き付けられる顧客、Bb:ライバル都市に引き付けられる顧客、Pa:出店した都市の人口、Pb:ライバル都市の人口、Da:出店した都市との距離、Db:ライバル都市との距離
- Ba/Bb > 1の場合:出店した都市のほうが顧客を引き付ける力が大きい
- Ba/Bb > 1の場合:ライバル都市のほうが顧客を引き付ける力が大きい
ライリー&コンバースの法則
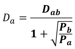
あなたが出店した都市とライバル都市との商圏分岐点の距離を計算します。
商圏分岐点よりも近い都市はあなたの都市で購買をしようとしますが、遠い都市の人はライバル都市で購買します。


Da:出店した都市と商圏分岐点の距離、Dab:出店した都市とライバル都市の距離、Pa:出店した都市の人口、Pb:ライバル都市の人口
出店した都市の人口が多いほど、商圏分岐点の距離は遠くなります。
つまり出店した都市で購買する近隣都市が増えることになります。
これは大都市が顧客を引き付ける力が強いことを意味しています。
ライリー&コンバースを計算することで、近隣の都市にどれくらい見込み顧客がいるか計算することができるようになります。
コンバースの法則
大都市がその近くの小都市の顧客(購買力)を吸引する割合を計算します。
基本的には小都市の購買力(顧客)は大都市に吸引されるという理論に基づきます。
「新小売引力の法則」とも呼ばれています。


Ba:大都市に引き付けられる顧客、Bb:小都市に引き付けられる顧客、Pa:大都市の人口、Hb:小都市の人口、d:大都市と小都市の距離
ポイント
距離が近いほど大都市に顧客が引き寄せられる人口が多いほど顧客を引き寄せる力が大きい
人口が多い都市には多くの魅力的な店舗が存在すると考えられます。
従って、近隣の都市は人口が多い都市でショッピングを楽しもうとします。
商圏分析計算アプリの紹介
商圏分析の計算を自動で計算できるWebアプリケーションを紹介します。
著書のWebサイト「アイデアジェネレーター」のコンテンツの1つとして公開しています。
あなたが店舗を構えたいと思ったとき、どの町に出展するべきか考える必要があります。
商圏分析計算アプリを使うことで出店都市の顧客を引き付ける力を把握することができます。
立地条件はあなたのビジネスの成否を決める重要な要素です。
商圏分析で見込み顧客を定量化することで、本当にその都市で良いのか意思決定の参考にすることができます。


コメント