資本力の弱い中小企業やベンチャー企業は、大企業と同じことをしても必ず負けます。
このため大企業が避ける領域で商売していくことが必要です。
このことは経営者であれば感覚として誰もが知っていることと思います。
一方で、なぜ大企業と同じことをすると必ず負けるのか、理論を知っている人は少ないのではないでしょうか。
この記事ではランチェスター戦略を分かりやすく解説しています。
中小企業が大企業と同じことをしてはならない理由を学ぶことができます。
また中小企業が大企業に勝つための戦略も併せて学ぶことができます。
資本力の少ない新規ビジネスの方向性を決めるうえでも、ランチェスター戦略の考え方は重要です。
この記事でランチェスター戦略の考え方をぜひ身に着けてみて下さい。
ランチェスター戦略の歴史
ランチェスター戦略は、もともと戦争の勝敗を科学的に数値化する目的で研究されてきました。
戦争の勝敗を数式化すれば、「どれくらい兵士を準備すれば敵軍に勝つか」数学的に計算することができるようになります。
ようするにランチェスター戦略は当初は軍事目的として研究されていたのです。
ランチェスター法則はイギリスのフレデリック・ランチェスターが提唱しました。
第2次世界大戦には、実際に戦争に活用されたと言われています。
軍事学から始まったランチェスター戦略ですが、この考え方は今日では経営学で活かされています。
ライバル企業との勝負を計算できることから、競争戦略の分野で活用されています。
ランチェスター戦略で何が分かるの?
ライバル企業との勝敗を計算で表すことができる
ランチェスター戦略はランチェスター則という計算式を使用して、戦争で勝つか、負けるかを計算することができます。
戦闘はビジネスに言い換えることができます。
つまりビジネスにおいて、ライバル企業に勝つか負けるか勝敗を計算することができます。
大企業と同じフィールドで戦えない根拠を示してくれる
ランチェスター戦略の計算式では資本力(兵力)と品質(武器)の2つのパラメーターを入れることで勝敗を計算することができます。
そして資本力が極めて重要な要素であることを教えてくれます。
資本力が多い大企業と同じ市場で戦った場合、品質が多少良くても大企業には勝てないことを教えてくれます。
ランチェスター戦略の計算方法を解説
ランチェスター戦略の計算に必要な4つのパラメーター
戦争に勝つには「兵力」と「武器性能」が重要です。
ランチェスター戦略では、兵力と武器性能から、戦争の勝敗を計算することができます。
パラメーターは以下の4つです。この4つのパラメーターが把握できるなら、自軍と敵軍でどちらが勝利するかを計算することができます。
①自軍の初期兵力:X0
②敵軍の初期兵力:Y0
③自軍の武器性能:α
④敵軍の武器性能:β
ここで言葉を置き換えてみましょう。
ランチェスター戦略では、ビジネスでのライバルとの勝敗に置き換えることもできます。
以下のように置き換えてみましょう。
ポイント・兵力:売上高、組織力、社員数
・武器性能:技術力、性能、スペック、品質
ビジネスも戦闘と同じで、勝敗が決まります。
ランチェスター戦略のワードを経営学に置き換えることで、ランチェスター戦略をビジネスに応用することができます。
ランチェスター戦略の2つの法則
ランチェスター戦略には2つの法則があります。
1つは個人間の戦闘を想定したランチェスター戦略1次法則です。
もう一つは集団間の戦闘を想定したランチェスター戦略2次法則です。
1次法則の場合、一騎打ちのように1対1で戦う場面を想定すればよいでしょう。
一方で2次法則の場合、機銃のように、1人が多人数を相手にするような集団戦闘を想定します。
現在のビジネスの世界ではインターネットなどが普及し、集団戦闘の様相を呈しているため、2次法則に従うとされています。
計算式は以下の通りです。
①1次法則

・・・式1
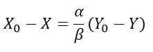
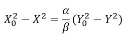
X0:自軍の初期兵力、X:自軍の残存兵力、Y0:敵軍の初期兵力 、Y:敵軍の残存兵力、α:自軍の武器性能、β:敵軍の武器性能
②2次法則

X0:自軍の初期兵力、X:自軍の残存兵力、Y0:敵軍の初期兵力 、Y:敵軍の残存兵力、α:自軍の武器性能、β:敵軍の武器性能
ここで、敵軍の初期兵力Y0、自軍の武器性能α、敵軍の武器性能βが分かっていたとします。
このときに、自軍がどれくらいの兵力を用意すれば、敵軍に勝てるでしょうか。
計算を簡単にするために、1次法則で計算してみましょう。
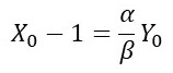
まず戦闘に勝つためには敵軍の残存兵力Yを0、かつ自軍の残存兵力Xを1以上にする必要があります。そこで①式にY=0、X=1を代入すると

・・・式2
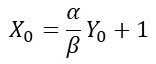
ここで自軍の初期戦力X0を算出したいので、式2からX0に関して求めると、

・・・式3
敵軍の初期兵力Y0、自軍の武器性能α、敵軍の武器性能βが分かっているため、戦闘に勝つための自軍の初期戦力X0を算出することが可能となります。
このようにランチェスター戦略の計算式を用いることで、兵力(資本力)、武器性能(品質)をどれくらい多くすればライバル企業に勝てるかを定量化することができます。
ビジネスではランチェスター2次法則で計算すること
現在のビジネスの世界ではインターネットなどが普及し、集団戦闘の様相を呈しています。
このためランチェスター戦略の2次法則に従います。
実際に計算してみるとわかるのですが、2次法則は武器性能よりも、兵力が絶対的に重要です。
次の図は残存兵力を経時変化で表したグラフになります。

戦争では時間とともに兵士は死んでいきます。この死者数の経時変化を表しています。
このシミュレーションの結果から、残存兵力は2次法則のほうが多く残る結果となります。
1次法則では残存兵力は60人しか残りませんが、2次法則では722人が残存します。
2次法則では兵力の減少率は逓減(徐々に減少していく)していき、時間とともに有利となっていきます。
ビジネスの世界ではランチェスター戦略の2次法則に従うため、時間がたつほど、資本力のある会社が有利になることを示しています。
この結果から以下の法則が分かります。
・1次法則の場合、兵力も重要だが武器性能も重要
・2次法則の場合、兵力が圧倒的に重要
大企業の場合は資本力が多いため、2次法則と同じように、兵力でモノを言う戦いを展開したほうが有利です。
一方で中小企業の場合は兵力を揃えることができません。このため1次法則での戦いのように、なるべく1対1の戦闘に持ち込めるような戦場で戦う必要があるでしょう。
1次法則が支配する戦場では武器性能が相対的に幅を利かせるので、武器性能に活路を見出せば勝機はあります。
言い換えると、大企業は全方位戦略で戦い、中小企業は大企業が入らないニッチ市場で戦うべきなのです。
中小企業は大企業が入らないニッチな分野でビジネスすること
この記事ではランチェスター戦略を数式を用いて解説していきました。
大企業と同じフィールドで戦った場合、中小企業は必ず負けることが数値で理解できたと思います。
このため中小企業やベンチャー企業は大企業が入らないニッチ市場で1位を目指すことが極めて重要となります。
なおランチェスター戦略の計算をしてみたい場合、
筆者のWebアプリ「ランチェスター戦略 計算アプリ」が役立つと思います。
このアプリでは自社がライバル会社に勝つことができるか、ランチェスター則を簡単に計算することができます。


コメント