「商圏分析 ライリー&コンバースの法則 計算アプリ」
使用方法
使用方法
WEBアプリ「商圏分析 ライリー&コンバースの法則 計算アプリ」の使用方法を説明します。
この計算アプリではあなたが出店したい都市の商圏の範囲を計算します。ライバル都市と比較してあなたが有利になる距離は商圏分岐点の範囲内で、それよりも遠い都市はライバル都市に顧客を吸引されるでしょう。
それではアプリの操作方法に関して説明します。
最初に以下の3つのパラメーターを入力します。

「あなたの都市の人口」にはあなたが出店したい都市の人口を入力します。次に入力する「ライバル都市の人口」ですが、ここはあなたが出店したい都市の近隣にある大都市をライバル都市として想定するとよいでしょう。「あなたの都市とライバル都市との距離」には、距離を入れてもよいのですが、googleマップのルート検索などで得られる所要時間などを入れることも有効です。
それぞれのパラメーターに数字を入力して下さい。何も入力しない場合や数字意外の文字を入力した場合はエラーとなります。
数字を入力して「計算する」をクリックすると結果が出ます。
(結果ページ)

先頭にあなたが入力した数字が表示されます。今回の場合、あなたが出店したい都市の商圏分岐点は5.3kmとなりました。あなたの都市の外周5.3kmはライバル都市よりも顧客を吸引しやすい都市が集まっています。これを商圏と言います。
ライリー&コンバースの法則の特徴
あなたが出店したい都市の商圏範囲を測定するときに有効となります。
単純に都市の人口が多い場合、周辺都市の顧客をより多く吸引することができます。人口が多い都市には多くの魅力的な店舗が存在すると考えられます。従って、近隣の都市は人口が多い都市でショッピングを楽しもうとするからです。
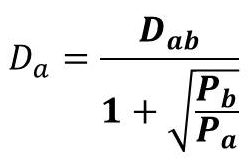
ライリー&コンバースの法則に基づいた計算式は以下の通りです。

それぞれの変数の説明は以下の図で表します。
距離が2乗で効いてくるため、距離が販売額の吸引には重要と言えます。
WEBアプリ「商圏分析 ライリー&コンバースの法則 計算アプリ」 はここから入れます。
商圏分析 ライリー&コンバースの法則の法則 計算アプリへ
