商圏分析 ライリーの法則 計算アプリ
どこに店舗を構えるか?小売業にとって立地条件ほど重要なテーマはありません。このサイトでは立地条件を決定するための分析方法「ライリーの法則」を計算するWEBアプリを無料で公開中です。
あなたが出店したい都市がライバル都市との中間にある都市から顧客を吸引する割合を計算します。ライリーの法則は別名「小売引力の法則」とも呼ばれています。
1.ライリーの法則とは?
2つの都市がその間にある中間都市から顧客を吸引する割合を計算します。
あなたが出店したい都市と、ライバル都市は中間に位置する都市の顧客(購買力)を奪い合います。これら3つの都市関係を表したのが下の図です。
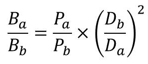
あなたの都市とライバル都市がその間にある中間都市から顧客を吸引する割合は、その2つの都市の人口に比例し、距離の2乗に反比例します。これがライリーの法則です。人口の大きな都市の方が買い物に行く魅力が大きく、距離が近い方が交通の便が良いため、より購買力を吸引しやすいという考えに基づきます。距離が2乗で効いてくるため、距離が販売額の吸引には重要と言えます。
計算式は以下の通りです。

2.ライリーの法則 計算アプリでできること
このサイトではライリーの法則を用いて、あなたの都市が中間都市から販売額(顧客)を吸引する割合を計算することができます。計算結果はライバル都市に対して何倍の顧客を吸引できるかで表示されます。
店舗を出店したいときに、特に重要となるのは立地条件です。多少サービスが悪くても、立地条件が良ければ良好な売上を得ることができます。逆に最高のサービスを提供したとしても立地条件が悪ければ、お客様は来ないでしょう。
立地条件はビジネスを開始する上で、非常に重要なファクターとなるのです。
この問題を理論化するために考え出されたのが、商圏分析の理論です。これらの理論は都市と都市の間に生じる、顧客を吸引する力関係を説明しています。この理論によって、あなたが出店したい都市が近隣都市と比較して有利か不利かを数値で測ることができます。
